| |

发射光谱是相对吸收光谱而言的,它是一个体系在外部激发下向外发射出的,包含人射光频率(或波长)以外的特征光信号,外部激发的方式可以是高温燃烧、化学反应、电磁辐射等。在本文中,将首先介绍一些发射光谱的基本概念;然后依次介绍原子发射光谱、荧光光谱和拉曼光谱技术,包括它们的产生机理、测量方法和具体应用。
一、基本概念
发射光谱的典型特征是其光谱信号中包含入射光频率(或波长)以外的特征光信号,即会产生新的波长。我们先来了解一下发射光谱的产生和它的具体形式。
1) 发射光谱的产生
从能量转移的角度来说,吸收光谱是入射光的能量转移到原子或分子上使得原子或分子从基态或较低能级跃迁至较高能级而产生;而发射光谱则正好相反,它是由于原子或分子由高能级向低能级或基态跃迁时向外发射出光子而产生。如下图所示。

但是,原子或分子通常处于基态,所以要形成发射首先需要通过外部激发把分子或原子“搬运”到高能级上,然后才能向低能级跃迁产生发射光谱。外部激发的形式有多种,包括高温燃烧、电磁辐射、化学反应等。以前经常用到的蜡烛,其发光方式就是典型的燃烧发光;白炽灯是通过电加热的方式使钨丝达到很高的温度从而发光;生活中使用的日光灯,其发光是一种光致发光的形式,日光灯的管壁涂有一层荧光材料,在高压汞灯的照射下向外发射出荧光;在化学反应过程中某物质吸收了反应所产生的化学能跃迁至高能级,然后再回到低能级也会导致发光,比如荧光棒,就是在揉搓棒时使里面的过氧化物和酯类化合物混合发生反应,释放的化学能传递给荧光染料从而发光
2) 发射光谱的分类
发射光谱技术主要包括原子发射光谱(atomicemission spectroscopy,AES)、荧光光谱(fluorescence spectroscopy)和拉曼光谱(Raman spectroscopy)等三种形式。原子发射光谱一般用于元素分析,通过电火花放电、电感耦合等离子体、辉光放电等方式激发原子到高能级,然后在返回低能级或基态时发射出相应的原子特征谱线。荧光光谱是物质吸收了外部光辐射后跃迁到激发态,然后再由激发态回到基态或邻近基态时,向各个方向发光的一种发射光谱,需要注意的是自然界中很多物质是没有荧光效应的。拉曼光谱是光照射到物质上发生了非弹性散射,被散射的光的频率发生了改变,它实际上也包含了先吸收(即激发)后发射的过程,拉曼光谱信号一般比较弱,这是其应用的一个难点,但是它和红外光谱一样是用于研究分子结构的有力工具。
二、原子发射光谱
从光谱技术的发展历史来看,光谱分析最早应用的是原子发射光谱:沃拉斯顿和夫琅和费观察到的太阳黑线,实际上就是太阳发射光谱被吸收的元素特征谱线;本生和基尔霍夫研制的第一台实用光谱仪,仪器中使用本生灯燃烧物质来激发元素的发射谱线。在原子发射光谱中,光源(或者说激发方式)是其中的核心部分,原子发射光谱分析技术的发展与光源的进步分不开。
1) 激发方式
在原子发射光谱中,待测物获得能量后其组分被蒸发为气体分子,气体分子进一步获得能量被解离成原子,原子在外部激发下使其外层电子从基态跃迁到激发态,如果再进一步获得能量电子将脱离原子核束缚成为自由电子,而原子也被电离成离子,该过程如下图所示。待测物经过上述的激发过程后,将形成包含分子、原子、离子、电子等各种气态粒子的集合体,整个集合体在宏观上呈电中性,处于类似于等离子体的状态。

不同原子激发和电离的难易程度不一样,这是由元素本身的共振能和电离能的大小决定的。比如:铯(Sc)元素的共振能和一次电离能(分别为1.45eV和3.89eV)最小,因此最易激发和电离;而氨(He)元素的共振能和一次电离能(分别为21.13eV和24.48eV)最小,因此最难激发和电离。采取何种方式激发待测物,或者说在原子发射光谱中采用何种光源,主要考虑待测元素激发和电离的难易程度。但是需要注意的是:激发和电离的难易与蒸发和原子化的难易是两码事,Ba、Zr和稀土元素很容易被激发和电离,但很难被蒸发及原子化,而As、Zn、Se、Te等原子很容易被蒸发和原子化,却很难被激发和电离。
在原子发射光谱中所用的光源主要有火焰、电弧、电火花、电感耦合(inductivecoupledplasma,ICP)、辉光放电等形式,这些光源都会形成等离子态,但是习惯上我们仅将ICP放电光源称为等离子光源。
(a)电火花光源
电弧和电火花光源称得上是发射光谱中的经典光源,它们利用在电极之间发生电弧或电火花放电所产生的能量使分析物蒸发、原子化并激发,从而发射出元素的特征谱线。但是这两种光源的稳定性都不是特别好,不利于定量分析;而且光源本身的光谱背景比较大,在紫外区域更为严重,会影响谱线指认。电火花光源相比于电弧光源具有更高的温度,可以用于难激发元素分析。
在电火花电源中,导电金属固体作为一个极(如下图中电极1),待测物填充在石墨或金属电极上作为另外一个极(如下图中电极2),当两个电极间产生电火花时,电火花会击穿电极在它们之间形成放电通道,该放电通道呈现高电流密度和高温,电极被强烈灼烧,使电极2中的待测物迅速蒸发,从而形成高温喷射焰炬而激发,向外发射出元素特征谱线电火花放电呈一束明亮、曲折而且分叉的细丝,如下图所示,它实际上是由放电通道和元素蒸气喷射焰炬构成的。

(b)电感耦合等离子体
ICP光源从20世纪60年代才发展起来,从1974年起商品化的ICP原子发射光谱仪开始大量涌现。ICP光源具有的优点是:较强的蒸发、原子化和激发能力,能够测量大部分元素;稳定性好,具有较高的检测精度,在检出限100倍的情况下,相对标准偏差为0.1%~1%:样品组成的影响小,容易进行定量分析,并且由于在惰性气体下工作,避免了受空气带状光谱的影响。
典型的ICP光源如下图所示,它主要包括以下几个部分:
①射频感应线圈,高频发生器为线圈提供高频能量,使其尖端放电引入火种,让氩气局部电离为导体,进而产生感应流。
②毛细喷射管,样品气溶胶通过该管道喷射出去,在射频感应线圈处与氩气一同被射频感应线圈激发为等离子体。

③等离子体管,里面通有氩等离子气体,它也称为辅助气,其作用是提高火焰高度和保护毛细喷管。
④冷却管,从切向通人氩气到冷却管内,它主要用于冷却 ICP光源炬管。
高频电流通过线圈时,其周围空气会产生交变磁场,如果线圈放电引人几个火花,会使少量氩气电离,产生少许电子和离子;交变磁场会感应这些电子和离子,使其加速并在炬管内沿闭合回路流动形成涡流;被高频场加速的电子和离子在运动中会受到气流阻挡产生热进而达到高温,同时高温会使氩气和样品气溶胶发生电离,产生更多的电子和离子,从而形成等离子火炬。ICP光源在射频感应线圈处的温度最高,由下至上温度逐渐降低。
(c)辉光放电
辉光放电是惰性气体在低气压下的一种放电现象,历史上作为一种有效的原子化和激发光源而用于光谱分析。在光源内部抽真空并充人放电气体(一般为氙气),在电极间加上电压(500~1500V)使体系内的气体被击穿离解成正离子及电子,在电场作用下正离子加速向阴极移动并与阴极发生碰撞,通常将待测样品放置在阴极上或者做成阴极材料,这样在离子的碰撞下样品原子将逸出样品表面扩散进人负辉区,与氩离子和电子形成等离子体,样品原子在等离子体中将与高能电子等经历一系列碰撞,从而被激发或离子化。
辉光放电时将在阴极和阳极之间出现明暗相间的8个区域,如下图所示

①阿斯顿暗区,为一很薄靠近阴极的暗区层。
②阴极辉区,为一个或几个微弱发光的、薄的阴极层,它是朝阴极运动的正离子与阴极发射出的电子复合而产生的。
③阴极暗区,是电子和离子的主要加速区。
④负辉区,是一个紧邻阴极暗区的较宽且明亮的区域,在该区域内高能电子、亚稳态氩原子和样品原子发生频繁碰撞,产生最有用的光谱分析信息。
⑤法拉第暗区,在负辉区中发生非弹性碰撞的电子将失去能量而变成低速电子它们将集中在此区。
⑥正柱区(正辉区),该区发出所充性气体的特征光,从法拉第暗区一直延伸到阳极附近。
⑦阳极辉区,比正辉区的发光强度更强⑧阳极暗区,是阳极电子加速区域
辉光放电产生的发射光谱具有稳定性高、背景干扰小、谱线锐等优点。
2) 典型的原子发射光谱仪器
下面给出两种典型的原子发射光谱仪下图为电火花光源的直读型原子发射光谱仪,它由电火花光源、样品架、分光系统、检测系统、电学控制系统及数据处理系统六个部分组成。后两部分在现代仪器中均由电子计算机实行程序控制、实时监控和数据处理。电火花光源部分为火花放电发生器;样品架用于放置样品,也是样品的激发台;分光系统与前面提到的色散方式及装置类似,在这里需要将分光系统的入射口与样品激发台衔接好;检测系统用于记录分光后的强度,可以用单点探测器,但是需要扫描,也可以用阵列探测器。

下图为ICP扫描型发射光谱仪,它由ICP光源、分光系统和检测系统构成,图中没有给出数据处理系统。样品溶液通过雾化器后以气体形式进入ICP光源的毛细喷管中,然后与氩气一同被高频感应线圈激发为等离子体而发光;ICP光源所发出的光经收集后进入分光系统中,利用全息双光栅对光信号进行色散;最后利用探测器检测色散后的光信号,由于采用的是单点探测器,所以需要转动光栅以获得不同波长处的光信号。下图所示的光谱仪除了主分光器外,还有一个内标分光器,ICP所发出的光经分束镜分为两束,一束进入主分光器;另一束则经光纤进入内标分光器,内标分光器的焦距更短、光栅面积小、灵敏度不高,这样可以更快地获得内标分析结果。

3)原子发射光谱的应用
原子发射光谱技术具有很长的发展历史,它在钢铁、有色金属、稀土材料、岩石矿物、石油、化工材料、甚至是食品等成分分析上具有广泛应用。
原子发射光谱是钢铁及合金冶炼、有色金属加工、机械材料加工等过程中产品质量控制最有效的手段,它们已经成为这些行业的标准检测方法。比如:我国国家标准GB/T4336-2016《碳素钢和中低合金钢多元素含量的测定火花放电原子发射光谱法(常规法)》是常规钢铁产品及普通商品钢材检验的常规方法;行业标准YS/T482-2005《铜及铜合金分析方法光电发射光谱法》规定了铜和铜合金的常规检验方法;GB/T24234-2009《铸铁多元素含量的测定火花放电原子发射光谱法(常规法)》为铸铁中元素含量的检验方法。
原子发射光谱也是地质样品分析的最重要的常规手段。地质实验室70%~80%的日常分析任务可用ICP原子发射光谱分析完成,尤其是地质化学样品测定,ICP原子发射光谱是不可缺少的手段。矿物种类繁多,它们在工业上均有很高的应用价值,而它的主成分和杂质含量则是划分矿物等级的主要依据,而利用原子发射光谱则可以精确地测量矿物成分,为矿物分级提供证据。
利用原子发射光谱可以对食品中的营养元素、有害元素、微量元素进行测定。在测量前首先有一个很重要的环节就是消化食品,即将食品溶解成透明清亮的液体,在消化过程中要求不能污染食品,也不能损失试样。消化食品的方法有很多,包括低于500℃干法灰化法、HNO3-HCIO4湿法消化法、HNO3或HNO3-H2O2或HNO3-H2O2-HF微波消化法等。比如:对大米中的元素进行测定,可以先称取0.5~1.0g样品,置锥形瓶中加硝酸和高氯酸,在电炉上加热消解至透明,再用离子水定容5ml,进行测定,对其中8种元素的分析波长如下表所示。

此外,原子发射光谱在环境监测领域也发挥了重大作用。利用它可以分析水中的无机污染物,采用超声波雾化装置的ICP原子发射光谱可以对水质样品不经任何预处理就进行测定除Hg以外的所有元素;原子发射光谱可以分析大气中的悬浮物,测定灰尘、雾霾、汽车尾气等主要成分,测定其中的Sb、Cr、Zn、Co、Hg、Sn、Ce、Se、Tl、Ti等元素及化合物:此外,还可以对土壤成分进行分析。
三、荧光光谱
荧光是一种光致发光,早在16世纪人们就在矿物和植物油提液中发现了荧光。随着人们对荧光本质认识的逐步深人,荧光光谱技术在科学研究和应用实践中也得到了进一步发展。目前,荧光光谱已被广泛用于生物、化学、医药、工业、环境保护等各个领域。
荧光的产生包括吸收和发射两个过程,首先吸收光子跃迁到高能级,然后再向低能级跃迁,向不同方向发射出光子,所以荧光光谱也属于发射光谱。下面我们将从荧光产生机理、影响荧光的因素、荧光信号的探测方法及荧光光谱的分析技术等几个方面来学习荧光光谱技术。
1)荧光产生机理
当物质吸收特定波长的光辐射时,会从基态跃迁到激发态,但是处于激发态的物质粒子是不稳定的,在适当的条件下,它们会向外辐射光而重新回到基态,这样的发光过程就称为光致发光。光致发光可以发生在不同的波长范围内,比如紫外-可见光区、红外光区和X射线区等,在这里我们仅关注于紫外-可见光区。
光致发光有荧光和磷光两种形式,它们的物理机制不一样,在此利用下图的能级跃迁图对其进行说明:

①无辐射跃迁(激发态一第一电子激发态的最低能级)在物质粒子被激发到高能级后,在很短的时间内,它们首先会因相互撞击而以热的形式损失掉一部分能量,从当前激发能级下降至第一电子激发态的最低能级。
②荧光发射(第一电子激发态的最低能级一基态能级),如果物质粒子由第一电子激发态的最低能级继续向下直接跃迁至基态能级,那么就会以光的形式释放能量,所发出的光就是荧光。
③磷光发射(三重态一基态能级),如果被激发的物质粒子不直接向下跃迁至基态能级,而是先无辐射跃迁至亚稳状的三重态,逗留较长时间后再跃迁至基态能级,那么在从三重态跃迁到基态能级的过程中就会向外发射磷光。
由此可见,荧光与磷光的主要区别在于:
(a)从激发态跃迁到基态的路径不同。
(b)从激发到发光的时间长短不同,荧光发光时间为10-~10-'s,磷光发光时间为10-3~10s,比荧光的发光时间要长得多。
(c)发光的波长不同,荧光波长比对应的磷光波长短荧光光谱与吸收光谱密切相关,如果把某一荧光物质的荧光光谱和它的吸收光谱进行比较,会发现这两种光谱之间存在“镜像”关系。确切地说,荧光光谱好像吸收光谱照在镜子里的像,但又比吸收光谱缺少一些短波长方向的吸收峰。下图为蒽乙醇溶液的紫外-可见波段的吸收光谱和荧光光谱。

从荧光光谱形成的物理机制不难理解为什么荧光光谱与吸收光谱会呈现“镜像”关系,我们从以下3个方面对荧光光谱和吸收光谱的特征进行比较。
(1)形状相似
吸收光谱是物质粒子从基态最低能级向激发态跃迁产生的,荧光光谱则是物质粒子由第一激发态的最低能级向基态各个能级跃迁产生的,它们分别反映了激发态和基态的振动能级结构,而基态和激发态的振动能级结构是相似的。
由于荧光光谱是由第一激发态的最低能级向基态振动能级跃迁产生的,所以它与物质粒子被激发到哪个激发态无关,换句话说,荧光光遵与激发光的波长无关。
(2)镜像对称
第一电子激发态的振动能级越高,与基态最低能级的能量差越大,则吸收波长越短;而基态的振动能级越高,与第一电子激发态最低能级的能量差越小,则吸收波长越长,所以吸收光谱和荧光光谱呈镜像对称。
需要注意的是,这种“对称”是按频率或波数对称,而不是按波长对称。另外一个可以得到的结论是,荧光光谱的波长总是比对应吸收光谱的波长长。
(3)谱带数
由于存在多个电子激发态,所以存在多个吸收谱带,而荧光谱带只有一个,因为只有从第一电子激发态最低能级向下跃迁才能发出荧光。
在实际应用中,荧光光谱相对于吸收光谱具有两个显著优点:①灵敏度高,荧光光谱的检测限比吸收光谱低1~3个数量级,可以达到ppb量级(parts per billion,10-9);②选择性好,能吸收光的物质不一定能发射荧光,而在一定波长下不同物质的荧光光谱也不尽相同,所以荧光光谱具有比吸收光谱更高的选择性。
但是,荧光光谱仍没有吸收光谱使用广泛,主要是因为许多物质本身不能产生荧光,而且荧光分析对环境因素(比如:温度、酸度、污染物等)非常敏感。
2)荧光信号的探测方法
测量荧光的装置称为荧光光谱仪,它与紫外-可见光谱仪(或吸收光谱仪)的结构非常相似,但又有本质的区别。
下图综合了荧光光谱仪和吸收光谱仪的光路,图中实线箭头表示吸收光谱仪的光路,而虚线箭头表示荧光光谱仪的光路。从下图中可以看出荧光光谱仪和吸收光谱仪的区别在于:第一,荧光光谱仪在与入射光垂直的方向上探测光谱信号,这样能够减小入射光对荧光信号的影响,实际中在探测器前还会加入一块滤光片,它能够阻止入射光而让荧光通过,从而能进一步减小人射光的干扰;第二,荧光光谱仪在探测器前还有一个额外的发射单色器。

在此关注一下荧光光谱仪的两个单色器,激发单色器用于选择激发光波长,发射单色器用于对荧光信号进行波长扫描。两个单色器的使用使荧光光谱有荧光激发光谱和荧光发射光谱两种形式。荧光激发光谱是在固定的荧光发射波长λem下探测荧光信号,通过扫描荧光激发波长λex得到,它实际上与吸收光谱类似;荧光发射光谱则是固定荧光激发波长λex,通过扫描荧光发射波长λem探测荧光信号得到。
荧光光谱仪也包括光源、单色器、样品池、探测器、显示及记录系统等部分,除了光源外,其余部件的选择与紫外-可见光谱类似,所以下面仅阐述荧光光谱仪中的光源。荧光光谱中的光源主要作用是激发,即将物质粒子从基态激发到激发态,所以一般需使用低波长(或高能量)的高强度光源。光源可以是单色光,也可以是光谱连续光源。激光无疑是荧光光谱中较理想的激发光源,包括离子激光器(488nm,514.5nm)、氨氖激光器(632.8nm)、倍频的Nd:YAG激光器(532nm)以及合适的半导体激光器等。
除此之外,常用的光源还有汞灯、氙灯、氘灯和碘灯。汞灯发射不连续光谱,外罩为玻璃时主要发射谱线为365nm,外罩为石英时主要发射谱线为253.7nm。氙灯能发射250~700nm波段的连续光谱,但是它对电源稳定性的要求很高。氘灯和碘灯分别可发射220~450nm和300~700nm波段的连续光谱
荧光光谱仪的光路可采用单光束或双光束光路,下图显示了日本日立公司的F4500荧光光度计的光路。它采用150W的氙灯光源,人射光由光栅型的激发单色器选择单色激发光,单色激发光经分束镜分为两束,一束作为参考光直接被光电管接收,另一束被轮状遮光器调制后入射到样品池上,然后在与激发光入射的垂直方向对荧光散射光进行收集,散射光由另一个光栅型单色器选择单色光出射,该出射光最后被光电倍增管检测到。

在实际的应用中可能经常碰到这种情况,物质自身不会发射荧光或者荧光效率很低,这样就没有办法利用荧光光谱进行直接测量。此时,可以采用间接测量方法,即引人具有强荧光发射的荧光团(或称为荧光探针剂),让荧光团分子与待测物质分子通过共价或非共价的方式结合,形成能够发出强荧光的络合物。荧光探针分子一般需要满足两个条件:第一,荧光探针分子能够与待测物质专一而牢固地结合;第二,这种结合不会破坏待测物质的分子结构和空间构象。
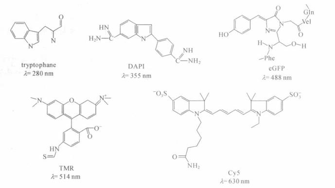
下图给出了一些典型的荧光团,图中给出了它们各自的分子结构和最大吸收波长。

(1)色氨酸(tryptophane)是蛋白质的组成成分之一,利用它的荧光可以对蛋白分子直接进行探测。色氨酸的最大吸收波长和最大发射波长分别为280nm(近紫外)和348nm(近紫外)。
(2)4',6-二脒基-2-苯基吲(DAPI)是一种能够与DNA强力结合的荧光染料,由于它可以透过活细胞,所以可以对活细胞和固定细胞染色。DAPI的最大吸收波长和最大发射波长分别为355nm(近紫外)和461nm蓝色)。
(3)绿色荧光蛋白(GFP)是近年来出现的一种革命性的荧光探针分子,它最初从水母体内提取得到,在蓝光照射下能直接发出绿色荧光。GFP的荧光效应不需要外加底物或其他辅助分子,所以检测方便;它能够长时间承受光照,而且对高温、碱性、大多数有机溶剂等具有较强抗性,所以荧光稳定性好;它对活体细胞无毒害,因此能够进行活体定位观测。eGFP是一种GFP的突变体,它通过双氨基酸取代增强了GFP的荧光效应,其最大吸收波长和最大发射波长分别为488nm(绿蓝色)和509nm(绿色)。
(4)罗丹明(rhodamine)是一类常用于生物分子标记的荧光酮杂环化合物,它具有荧光稳定、pH不敏感、荧光量子产率高等优点。图5-13中四甲基罗丹明(TMR)的最大吸收波长和最大发射波长分别为514nm(绿色)和576nm(黄绿色)。
(5)Cy系列染料是一类近红外荧光染料,由于其荧光波长一般在600~1000nm,因此能够避免生物分子自身荧光背景的干扰。常用的Cy类染料有Cy3、Cy5和Cy7。上图中Cy5染料的最大吸收波长和最大发射波长分别为630nm(橙色)和667nm(红色)。在使用荧光团时,激发波长的选择非常重要。根据前面的分析知道,选择最大吸收波长作为激发波长可以获得最强的荧光强度。比如:染料Cy3的吸收光谱和荧光光谱如下图所示,其吸收光谱的最大吸收波长位于550nm附近,所以选择550nm作为激发波长能够获得最强的荧光,其荧光光谱的最大发射波长位于570nm(黄绿光)。但是从下图中也可以看出,550nm的激发光对荧光光谱的影响将比较大,所以在进行荧光探测时往往还需对激发光进行滤除,或者使用更短波长的激发光(使激发光与荧光光谱没有重叠)。

3)荧光光谱的应用
荧光光谱在化合物的定性/定量分析以及环境监测、工业生产过程监测、农业等诸多领域得到了应用。
(a)无机化合物的定性/定量分析
无机化合物本身大多不具有荧光效应,所以一般只能将待测的无机离子与具有有机荧光试剂结合后再利用荧光光谱进行测定。具体有如下几种方法:
①直接法。它利用无机离子与有机荧光试剂形成能发荧光的络合物,直接测量络合物发射的荧光强度。可用该方法测量的元素很多,比如:A1、Au、B、Be、Ca、Cd、Cu、Eu、Ga、Gd,Ge、Hf,Mg、Nb、Pb,Rh、Ru、S、Sb、Se、Si、Sn、Ta、Tb、Th、Te、W、Zn、Zr等。但是一些过渡金属离子不能使用直按法,因为这些离子为顺酸性,这会增加向三重态跃立的速率,此有可能观察到磷光而不是荧光。
②荧光猝灭法。某些无机离子虽然不能形成荧光络合物,但是可以从金属-有机荧光试剂络合物中夺取金属或有机试剂,形成更稳定的络合物,从而导致金属-有机荧光试剂络合物的荧光强度降低,这种现象也称为荧光猝灭。可使用荧光猝灭法测定的元素有S,Fe,Co,Ag,Ni等。
③催化荧光法。某些无机离子形成荧光络合物的过程很慢,这时加入微量金属离子可起到催化作用,它能使形成荧光络合物反应迅速进行,此时通过测定一定时间内的荧光强度来测量该金属离子浓度。
在无机元素分析中,常用的有机荧光试剂有四种,它们分别是s-羟基喹啉、茜素紫酱R、黄烷醇和8-羟基喹啉,其分子结构如下图所示。这些有机荧光试剂可用于某些特定无机离子的检测,具体如下表所示,表中同时给出了它们对应的最大激发波长和最大荧光发射波长。


(b)有机化合物的定性/定量分析在有机化合物方面,荧光光谱的使用更广泛,因为有些有机化物自身就具有荧光效应,比如:高度共轭化合物或脂环化合物(如维生素A、萝卜素等)、具有共轭不饱和结构的芳香族类化合物、蛋白质中的部分氨基酸等。
一些简单的有机化合物通常不具有荧光效应,但是可以通过化学反应生成具有荧光效应的化合物,然后再利用荧光光谱进行测量。比如:用荧光分析法测定丙三醇,首先将丙三醇与蒽酮的硫酸溶液共热,丙三醇脱水后形成丙烯醛,然后将丙烯醛与丙酮发生缩合作用产生会发荧光的苯并蒽酮,最后用350~500nm波长光激发,在575nm处测量荧光强度,该方法可测定5~75ug的丙三醇。
在构成蛋白质的20多种氨基酸中,只有色氨酸(Trp)、酪氨酸(Tyr)和苯丙氨酸(Phe)三种氨基酸能够直接发射荧光,它们均属于芳香族氨基酸,其发射的荧光强弱为:Trp>Tyr>Phe。由于苯丙氨酸需要更短的激发波长才能激发,蛋白质的荧光一般来自色氨酸和酪氨酸。
(c)荧光光谱在生产、生活等领域中的应用尽管荧光光谱在使用上受到被测物荧光效应的限制,但是荧光光谱在检测灵敏度和特异性上的优越性能,使得它在环境污染监测、工业生产过程监测、农业等许多领域也得到了广泛应用。
利用荧光光谱可以检测水中石油污染物,石油中包含了很多荧光物质,占主导的是芳香族化合物和含共轭双键的化合物,比如:萘、蒽、菲、苯并芘、卟、二甲苯、三甲苯等。利用荧光光谱还可以监测大气污染物,SO2是大气中数量最多、分布最广,对人危害最大的一种大气污染物,而它在受到外部光激发的情况下会发射出荧光,SO2在波长190~230nm范围内的吸收最强,而且空气中的N2和O2不会引起荧光猝灭,是常用的激发波长区,荧光大约出现在200~240nm范围;NOx也是一类大气主要污染物,它们在激光诱导下也会发出荧光,比如NO在226nm激光的激发下会发出226~300nm范围的光,最小可检测浓度可达 8ppt。
在造纸行业中,荧光光谱可用于纸张生产的在线监测,主要可用于纸浆卡伯值和纸张表面均匀度的测量。纸浆卡伯值是造纸原料经蒸煮后纸浆中残留木质素和其他还原性有机物的量,它直接影响纸浆的质量和产量。在木质素浓度很低的情况下,理论上其荧光强度与其浓度成正比,这样测得所激发的荧光强度就可以衡量纸浆卡伯值,有人利用氙灯经420~490nm滤光片作为激发光源,然后分别探测590nm以上的红色荧光和500~580nm的绿色荧光,发现两者的比值与卡伯值的线性相关度在0.995以上。纸张匀度表征了纸张在微观上纤维的定量分布变化,当纤维含量不同时所激发的荧光强度也会不同,在纸张生产过程中可以用荧光探头连续采集生产线上纸张的荧光强度,根据光强度的波动情况来衡量纸张匀度。
四、拉曼光谱
1928年,印度科学家拉曼(C.V.Raman)和苏联科学家曼杰斯塔姆分别在液体和品体的散射中发现,散射光中除了有与人射光频率v相同的瑞利散射光外,还有频率为v士,v士,…的非弹性散射光,后者就称为拉曼散射光。印度科学家拉曼也因为首次观察到拉曼散射现象而在1930年获得诺贝尔物理学奖。
拉曼光谱是基于拉曼散射效应的一种光谱技术,也属于发射光谱范畴,它是另一种形式的分子振动光谱,也能够用于分子结构分析。但是,拉曼光谱的产生机理、光谱特征等各方面与红外吸收光谱均存在差异,在实际的光谱分析中它与红外吸收光谱互为补充。
1) 拉曼散射的基本原理
拉曼光谱利用了散射光,可用下图所示的能级跃迁来解释。在此引入了“虚态”这个概念,它并不是一个实际存在的能级,但有助于我们理解拉曼光谱的原理。

当物质分子吸收外部光辐射hv后,它被激发从基态振动能级跃迁到虚态,如果它再跃迁回起始的基态振动能级,则会发射出频率为v的光,这就是瑞利散射。但是,如果它向下跃迁到比起始基态振动能级更高或更低的振动能级,则发射光频率将不同于v,这就是拉曼散射。若向下跃迁到比起始基态振动能级更高的振动能级,就会发射出频率为v-△v的光,v为振动能级间的频率差,这就是斯托克斯(Stokes)线:若向下跃迁到比起始基态振动能级更低的振动能级,就会发射出频率为v十△v的光,这就是反斯托克斯(Anti-Stokes)线。
2)拉曼光谱的测量
拉曼光谱仪可分为色散型光谱仪和干涉型光谱仪两类。色散型光谱仪多以光栅为色散组件,干涉型光谱仪则以迈克尔逊干涉仪为色散组件,与前面提到的色散组件类似,不再赘述。
为了减小光谱受人射光的影响,拉曼光谱仪的信号探测方向一般与入射光束传播方向垂直,如图5-24所示,这与荧光信号收集的方式类似。图中凹面反射镜的作用是让光束多次通过样品,提高信号收集效率。为了减小瑞利散射光的影响,在检测光进入单色器前会加一块陷波滤波器(notchfilter),它能够截止入射光中心频率附近的窄谱带以消除入射光对拉曼光谱的影响。

现代拉曼光谱仪中的光源几乎都用激光光源,激光光源的高强度有利于提高拉曼散射信号的强度。
3)拉曼光谱增强
散射强度太低是拉曼光谱的致命弱点,在常规拉曼光谱测量中,拉曼散射强度只有瑞利散射的10-6~10-3,所以增强拉曼光谱信号始终是拉曼光谱技术中人们感兴趣的研究热点。除了提高激光光强外,拉曼增强技术有表面增强拉曼光谱、共振拉曼光谱等。
(a)表面增强拉曼光谱(surface enhanced Raman spectroscopy,SERS)
1974年,Fleischmann等从吡啶在粗糙银电极表面上发现了表面增强拉曼效应。它是将分子吸附在极微小金属(如:金、银、铜等)颗粒表面或其附近,然后测量拉曼光谱,这样得到的拉曼散射强度比常规拉曼光谱要强103~105倍。SERS效应在银表面上最强,在金或铜的表面上也可观察到,并且在表面增强拉曼光谱中荧光的干扰可有效地得到抑制。
关于SERS增强机理目前有两类理论:物理增强和化学增强。物理增强理论认为,SERS效应是一种与粗糙表面相关的增强效应,主要由金属表面基质受激而使局部电磁场增强所引起(故又称为电磁增强),其强弱取决于与光波长对应的金属表面粗糙度大小和与波长相关的金属电介质作用的程度,表面等离子模型、天线共振子模型和镜像场模型都属于物理增强机制。化学增强理论则认为,SERS增强是由吸附在粗糙金属表面的物质分子极化率改变而引起的,活位模型和电荷转移模型均属于化学增强机制。
不同化合物的SERS效应是不同的:带孤对电子或π电子云的分子呈现的SERS效应最强,芳氮或含氧化合物(如芳胺和酚)也具有强的SERS效应,电负性功能团(如羧酸)也能观察SERS效应。
前面提到拉曼散射强度与金属表面粗糙度大小有关,王健等[]对金/PATP/Au三明治结构的表面增强拉曼散射信号进行了测量,结果如下图所示,图中a~d光谱分别对应粒子半径为15.7nm、26.7nm、40.3nm和66.0nm的情况,可以看出随着粒子粗糙度增加。表面增强拉曼信号越来越强,另外有报道表明粒子半径为80~100nm时表面拉曼增强效果最佳。

(b)共振拉曼光谱(resonance Raman spectroscopy)
根据前面的理论,拉曼光谱形成过程是一个双光子过程,它先吸收一个光子跃迁到中间态,然后再从中间态发射出散射光子。在常规的拉曼光谱中,这个中间态是个虚态,而不是分子实际的本征态,这样使得吸收和散射的概率都很小,因此拉曼散射强度也很小。共振拉曼光谱的思路是,选择激发光源频率,使分子吸收该频率光子后能跃迁到电子激发态,使原来的虚态变成本征态,提高拉曼散射概率,如下图所示。共振拉曼光谱实验技术与常规拉曼光谱技术基本相同,要求光源频率可调谐,以方便本征态的选择和激发。需要注意,如果样品本身具有荧光效应,共振拉曼光谱受荧光影响较大。

共振拉曼谱带比常规拉曼谱带的强度要大104~106倍,并且在共振拉曼光谱中,分子非生色团部分的拉曼散射没有得到加强,仅成为弱的背景,从而使得生色团的信号凸显,此外共振拉曼光谱中会出现与基频强度相当的多级倍频和合频谱带,所以共振拉曼光谱技术具有高度的选择性和灵敏性。但是,在共振拉曼光谱技术中通常需要采用波长连续可调激光器,以满足不同样品共振拉曼光谱激发的需要。
下图显示了[Fe(O-phen)3]2+离子分别在647.1nm、568.2nm、514.5nm和488nm激光激发下的拉曼光谱,其中983cm-1的吸收峰来自0.5M的SO42-,作为一个参考内标峰。从图中可以看出,随着入射光波长的减小(或者频率的增加),内标峰的强度在减小,表明[Fe(O-phen)3]2离子的拉曼散射强度在逐渐增强,而这正是共振拉曼效应。

(c)非线性拉曼光谱
激光强度增加到一定程度时,拉曼散射光强度与入射激光强度有非线性关系,拉曼散射光强随激光强度增加而非线性增加,

这时候就会产生非线性拉曼效应,包括受激拉曼效应(stimulatedRamaneffect)、反拉曼效应(inverse Raman effect)、超拉曼效应(hyper Raman effect)等。
相干反斯托克斯拉曼光谱(coherent anti-stokes raman spectroscopy,CARS)是其中一种典型的非线性拉曼光谱技术。CARS是一个非线性四波混频过程,输入一束泵浦光和一束斯托克斯光,当它们的频率差正好等于振动能级间隔时(即wvib=wpump-wstokes),就可以得到增强的CARS信号(wCARS=2wpump-wstokes),其基本原理如下图所示。

4)拉曼光谱的应用
拉曼光谱是一种有力测定物质结构的工具,它在生物、医学、环境、食品安全、化工等领域已经得到广泛应用。
(a)在有机化合物方面
拉曼光谱在不饱和碳氢化合物、杂环化合物、染料以及有机化合物的结构表征等方面均获得了成功,相比于红外光谱,它在以下官能团的特征吸收的检测中更为方便:
①同种分子的非极性键,如S-S、C=C、N=N、CΞC等,会产生强拉曼谱带,并且强度随单键→双键→三键依次增加;
②CΞN、C=S、S-H的伸缩振动产生的红外吸收谱带一般较弱,而在拉曼光谱中则是强谱带;
③环状化合物的对称呼吸振动(即C-C键的全对称伸缩振动)往往是强拉曼谱带;
④在拉曼光谱中,X=Y=Z、C=N=C、O=C=O这类键的对称伸缩振动是强谱带,反对称仲缩振动是弱谱带,而红外光谱与此相反;
⑤C-C伸缩振动在拉曼光谱中是强谱带;
⑥醇与烷烃的拉曼光谱相似,主要是OH键的拉曼谱带较弱的缘故
(b)在无机化合物方面
拉曼光谱可用于对各种矿化物如碳酸盐、磷酸盐、呻酸盐、饥酸盐、硫酸盐、锢酸盐、鸽酸盐、氧化物和硫化物等的分析,也能鉴定红外光谱难以鉴定的高岭土、多水离岭土及陶土等。在对过渡金属配合物、生物无机化合物以及稀土类化合物等的研究中也都取得了良好的效果。用拉曼光谱还可测定硫酸、硝酸等强酸的解离常数等。
(c)其他方面
拉曼光谱也用于高聚物的硫化、风化、降解、结晶度和取向性等方面的研究。在生物体系研究方面,拉曼光谱可直接对生物环境中(水溶液体系、pH接近中性等)的酶、蛋白质、核酸等具有生物活性物质的结构进行研究。人们还尝试利用拉曼光谱技术研究各种疾病和药物的作用机理。
(d)应用举例
实例一:翡翠鉴定
翡翠为了抛光需要使用石蜡,所以填有石蜡的翡翠仍是A货,但是填充了AB胶、环氧树脂等却是以次充好的翡翠B货,AB胶、环氧树脂与石蜡的分子结构不同,从而显示出不同的拉曼特征峰,如下图所示。所以,只要在拉曼光谱中检测到了AB胶、环氧树脂等的特征峰就可以鉴定该翡翠样品为B货无疑。

实例二:食品安全
食品安全已成为一个全社会关注的问题,一些对人体有害的物质添加到食品中会对人的健康造成伤害,甚至危及生命。比如:添加在牛奶中的三聚氰胺,容易在体内吸附会引起结石的草酸、鞣酸及钙等物质,从而沉积在泌尿系统中,最终会引起膀胱及肾结石。这些有害物质都有自己的特征拉曼光谱,再加上拉曼光谱有很高的灵敏度,所以能够用于检测食品中的少量或微量有害物质。
A.Kim 等研发了基于SERS的便携式三聚氨胺检测仪(同下图),它旬括亭性能的金纳米手指SERS传感芯片和便携式拉曼光谱仪,利用三聚胺在710cm处的特征峰对三聚氰胺进行检测,可以在不做任何样品预处理的情况下检测出水中1ppt的三聚氰胺含量。

实例三:司法鉴定
在司法鉴定方面,拉曼光谱技术也能发挥作用。下图显示了宝克、得力、施耐德和斑马四种品牌圆珠笔的拉曼光谱,可以看出它们的拉曼光谱存在显著差别,以此可以对它们进行鉴别,为司法审判与执行提供依据。

五、总结
本文介绍了各种发射光谱技术。发射光谱是相对于吸收光谱而言的,它通常包括激发和发射两个过程,在发射过程中会发射出与人射光波长不同的光信号。我们首先简单介绍了发射光谱的基本概念和分类,然后分别从光谱产生机理、光谱测量、光谱应用等方面分别介绍了原子发射光谱,荧光光谱和拉曼光谱技术。原子发光谱一般采电火花、等离于体放电和辉光放电等形式进行激发,是测量物质元素成分的有力手段;荧光光谱首先要吸收外界光使粒子跃迁到激发态,然后在从第一激发态往基态能级跃迁的过程中形成,但是荧光效率受物质粒子自身结构和环境影响较大,对于没有荧光效应的物质只能采用荧光物标记的方法;拉曼光谱是一种非弹性散射的结果,它形成于人射光中心频率的两侧,强度比中心频率的瑞利散射光要弱很多,所以拉曼增强技术是其应用研究的热点。
/1