| |

一、吸收光谱的基本概念
吸收在光谱中有两种表达方式:透射率(transmittance)和吸光度(absorbance)。假设入射光强为I0,经过样品后的光强为I,那么透射率T和吸光度A可分别表示如下:

由于I通常要小于I0,所以透射率T的取值范围为0~1。
下图显示了纯水(H2O)在近红外波段(4000~12000cm-1)分别用吸光度和透射率表示的吸收光谱。

1) 吸收光谱的测量
由吸收光谱的表达容易知道,要得到吸收光谱通常需要测量两次光强:一次是测量入射光强,也称为背景光强或参比光强;另一次是测量通过样品后光强,也称为透射光强在实际光谱的测量中可采用单光路和双光路两种方式,分别如下图(a)和(b)所示。

单光路方式是在光路中不放入和放入样品时分别测量透射光强。双光路方式则是把光分成两路,一路通过空白样品池或参比样品池;另一路通过待测样品,然后分别探测两路光强。单光路方式相比于双光路方式操作稍显烦琐。
2)吸收定律
吸收光谱的定量分析建立在吸收定律的基础上。吸收定律也称为朗伯-比耳定律(Lambert-Beer Law),它适合于所有电磁辐射波段,包括紫外-可见、近红外、红外波段等,也适用于不同形态的被测物质,包括气体、液体、固体等。
所谓吸收定律,是当一束平行的单色光通过某一均匀的物质时,吸光度A与物质浓度c和光程b的乘积成正比。如下图所示:


式中,T为透射率,它等于入射光强I0与透射光强I的比值,ε为比例常数。
公式中的比例常数ε的物理含义跟物质浓度c的具体表达相关。假设浓度c单位为mol/L,光程b单位为cm,ε就称为摩尔吸光系数,其单位为L/(mol·cm);ε越大该物质对此波长的吸收能力越强,在紫外-可见光区中ε属于10~105,ε>104说明物质的吸光能量强,ε<103说明物质的吸光能力弱。假设浓度c单位为cm(气体浓度常用表达方式,表示单位体积内的分子或原子数目),ε就称为吸收截面,其单位为cm2。
3)吸收光谱分类
按吸收物质粒子可以把吸收光谱分为原子吸收光谱和分子吸收光谱,前者在元素成分分析方面非常有用,后者对分子结构解析很有帮助。
吸收光谱与电子运动、分子振动和分子转动等粒子内部运动所形成的能毁相关,不类型能级间跃迁所产生的吸收波长范围会不一样。
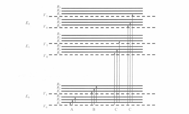
利用下图所示的分子能级结构可以更清晰地看到这一点。图中E、V和R分别表示电子、振动和转动能级,可能发生的能级跃迁有A、B和C三种形式。A为转动能级跃迁,产生的光谱会出现在远红外甚至是微波区域:B为转动/振动能级跃迁,产生的光谱会出现在中红外区域:C为转动/振动/电子能级跃迁,产生的光谱会出现在紫外-可见光-近红外区域。在这里,我们主要按波长范围把吸收光谱分为紫外-可见、近红外和红外吸收光谱。下面将分别对它们进行阐述,其中近红外光谱技术比较偏重于分析方法,在其光谱测量方面仅简单介绍。

二、紫外-可见光谱
紫外-可见光谱也称为电子光谱,它由物质分子的外层电子能级之间的跃迁所产生紫外可见光谱法就是利用物质对紫外-可见光的选择性吸收而建立起来的一种分析方法
1) 基本概念
紫外-可见光谱的光谱坐标一般用波长表示,单位为纳米(nm)。紫外-可见光区通常分为三个区域:10~200nm的远紫外光区(也称真空紫外)、200~380nm的近紫外光区和380~760nm的可见光区。远紫外光区的光信号探测相对较困难,所以在实际中使用较少在可见光区,光的波长与颜色具有如下表所示的对应关系,颜色的互补色表示一束白光被吸收该颜色后所呈现的颜色。注意:颜色随波长的变化是渐变的,所以实际上不同颜色之间的分界并不会这么明显。

在紫外-可见光谱中,吸光度最大处对应的波长称为最大吸收波长λmax,最大吸收波长λmax处的摩尔吸光系数表示为εmax。不同物质的吸收曲线和最大吸收波长λmax不同,因此可以利用吸收曲线进行物质鉴别。不同浓度的同一物质的吸收光谱相似,最大吸收波长位置基本不变,但是吸光度会随浓度的增加而增大,如下图所示,所以利用吸收曲线也可以进行定量分析。一般而言,最大吸收波长位置的吸光度随浓度变化的灵敏度最高,所以在定量分析时通常选择λmax位置。

2)紫外-可见光谱仪结构
紫外-可见光谱仪一般由光源、色散组件、样品池、探测器、显示及记录系统等部分构成,基本结构如下图所示。由连续辐射光经色散组件分光后,通过样品池被样品吸收,吸收后的光信号再被探测器接收,最后以某种方式显示和记录光谱。注意:在光路的安排上,样品池可以在色散组件之前,也可以在色散组件之后,即先色散后吸收或者先吸收后色散。

a)光源
光源需要提供紫外-可见光波段(200~760nm)足够强度和稳定的连续光谱。紫外光区一般使用氘灯或氢灯,而可见光区一般使用卤钨灯。在仪器中,为了避免光源之间的切换,通常会让氘灯和卤钨灯串联成直线使用。
b)色散组件
色散组件通常由人射狭缝、准直镜、色散元件、物镜和出射狭缝构成,如下图所示。

色散元件是色散系统的核心器件,一般选择棱镜或光栅。入射狭缝用于限制杂散光,并且入射狭缝越小光谱分辨率越高。出射狭缝用于限制光谱带宽,但是如果使用阵列探测器接收光谱信号,出射狭缝不需要使用。
c)样品池
样品池用于盛放待测样品,它要求在所测光谱区域为“透明”(即没有显著吸收)。用于紫外-可见光谱测量的样品池材料主要有石英和一般玻璃两种,石英样品池可用于紫外-可见光区,而一般玻璃样品池则只能用于可见光区。此外,还有一些材料也可以用于紫外-可见光区,它们的透明波段如下表所示。

d)探测器
探测器可使用单通道的光电倍增管或多通道的线阵光电探测器。使用单通道探测器时,仪器中需要专门的机械扫描机构,以实现对波长的扫描;而使用线阵探测器,则可以并行检测不同波长位置的光强,如下图所示。

e)显示和记录系统
早期紫外-可见光谱仪的显示和记录系统有检流计、微安表、电位计、数字电压表、x-y记录仪、示波器等,而现在更多地使用计算机作为显示和记录系统。基于计算机平台的光谱软件是显示和记录系统的核心,它可以控制光谱仪器的自检和光谱采集,将光谱显示在显示器上,以曲线或数据表格方式输出光谱测量结果,此外还可以灵活地对光谱进行分析和处理。
f)光路设计
这里讨论的光路将不仅限于紫外-可见光谱仪,对红外和近红外光谱仪或者后面要介绍的发射光谱仪也是适用的。在此,我们仅对单光束、双光束和双波长这3种光路进行说明(如下图所示)。
单光束光路如下图(a)所示。它仅使用一路光,并且仅利用单一波长;具有结构简单、价格低廉的优点,但是容易受光源和探测器的不稳定性的影响,因此并不实用。双光束光路如下图(b)所示。它利用切光器将单色器的出射光分为两路,一路经过样品池,另一路经过参考池,以两路信号的比值作为测量结果;双光束光路可以克服单光束情况下由于光源和探测器不稳所带来的误差
双波长光路如下图(c)所示。它由两个单色器分出不同波长的两束光,由切光器并束,使其在同一光路中交替通过样品池;双波长光路可以降低杂散光的影响,具有较高的光谱精度,如果两个波长相邻,并且对波长进行扫描,那么利用双波长光路就可以得到导数光谱。

3)紫外-可见光谱仪的标定方法
光谱仪器在使用前往往需要进行定标(或者称校正),定标主要包括波长定标、光度定标和杂散光定标3种形式。
4)紫外-可见光谱的应用
紫外-可见光谱在灵敏度、准确性和重现性方面均具有较好的性能,是目前广泛使用的定量分析方法。比如:医院常规化验中95%的定量分析均用紫外-可见光谱;《中国药典》规定的含量测定方法87.6%为紫外-可见分光光度法;有的国家已将数百种药物的紫外-可见最大吸收波长和吸光系数载人药典。紫外-可见光谱法能够测定含有微量的具有紫外-可见吸收的杂质,它在有机/无机污染监测、农药残留分析、食物添加剂检测、药物成分测量等方面也均有广泛应用,比如:利用紫外-可见光谱可测定水中的油分、表面活性剂、酚类化合物、苯类化合物、重金属离子等。
(a)如果被测物只含有一种成分(即单组分),则可以采用绝对法,标准对照法或标准曲线法进行定量分析。
绝对法:物质在给定波长处的摩尔吸光系数ε为常数(一般可以在手册上查到),吸光度A可由实验测得,这样利用吸收定律A=εbc就可直接计算溶液浓度。标准对照法:配制标准溶液,将待测溶液与标准溶液的吸光度进行比较,由于溶液浓度与吸光度成正比,所以待测溶液的浓度可由标准溶液的浓度推算出来。
标准曲线法:首先配制一系列已知浓度的溶液,测定其吸光度,由此可以获得吸光度浓度曲线(理论上应该是一直线),以此作为标准曲线。在相同条件下测量样品溶液的吸光度,然后从标准曲线中查出样品溶液的浓度。如下图所示。

(b)被测样品为混合物(即多组分),可以分两种情况讨论。如果每个组分的吸收曲线在所用波长处没有重合,如下图(a)所示,则可以采用与单组分相同的方法分别测量每个组分。但是如果各组分的吸收曲线在所用波长处有重合,如下图(b)所示,则需要在每个组分的最大波长处测量吸光度,然后联立方程求解:


三、红外光谱
大约在1800年,英国天文学家赫歇尔(HerschelW)在利用棱镜研究太阳光光谱时测量了每个颜色的温度,发现温度最高的地方在红老以外(波长此红光长入,这是一次认六到红外光的存在。20世纪初,人们进一步系统地了解了不同官能团具有不同红外吸收频率的这一事实。1950年出现了自动记录红外光谱仪,1970年以后随着计算机科学的进步出现了傅里叶变换红外光谱仪。到现在,红外光谱技术已经成为物质鉴别、化合物结构分析的主要手段之一,在许多领域的定性和定量分析中发挥着重大的作用。
红外光谱产生于分子振动能级间的跃迁,所以红外光谱也称为分子振动光谱。振动能级跃迁实际上是一个振动能级下的转动能级向另一个振动能级下的转动能级的跃迁,所以实际上红外光谱反映了分子的振动与转动,因此我们有时也将红外光谱称为分子振-转光谱。
1)典型红外光谱仪结构
与紫外-可见光谱仪类似,红外光谱仪也包括红外光源、色散组件、样品池、探测器、显示和记录系统等部分,其中显示和记录系统现在通常使用计算机,后面不再赘述。
(a)红外光源常用的红外光源是能斯脱灯和硅碳棒,它们各有优缺点。能斯脱灯稳定性好,不需水冷,可提供小于15um的短波红外辐射,但是需专门的预热装置,价格昂贵。硅碳棒价格便宜,不需专门的预热装置,可提供大于10mm的长波红外辐射,但是需水冷。此外,能斯脱灯和硅碳棒均易折断,这样给使用带来了很多不便。一种能斯脱灯的改良光源--珀金-埃尔默光源,它比一般的能斯脱灯具有更好的机械性能和光谱性能,它不易折断,能够提供2~25um范围的红外辐射。
(b)样品池
样品池要求为红外透明材料,由于红外波段范围较宽(从近红外到远红外),目前还没有找到一种能够用于整个红外波段的材料。下表总结了一些材料透明的光谱范围及其物理化学性质,可作为红外样品池材料选择的参考。


(c)探测器
热探测器和光电探测器均可用于红外辐射的探测。
热探测器的原理是辐射的热效应,吸收辐射引起温度升高,温度升高导致相关物理量发生变化,通过测量这些物理量的变化来检测光辐射。常用于红外辐射探测的热探测器有热电偶、高莱池、热(释)电探测器等。其中热(释)电探测器的测量原理是,某些晶体(如硫酸三甘氨酸脂TGS)当温度升高时会引起表面电荷增多,通过外接电流就可以测量由辐射引起的电荷移动,它的响应速度很快,可跟踪干涉仪随时间的变化,故多用于傅里叶变换光谱仪中。
光电探测器中的光导效应器件也常用于红外光探测,它是一种半导体光电器件,使用的半导体材料可以是Hg-Cd-Te、PbS、InSb等。Hg-Cd-Te探测器缩写为 MCT,它能用于中红外和远红外光的探测,但是使用时需用液氨冷却至约77K以降低噪声,它的灵敏度比热(释)电探测器高,在傅里叶变换光谱仪中也使用较多。不同于MCT探测器,PbS探测器则多用于室温下的近红外光探测。
(d)典型的红外光谱仪器
红外光谱仪发展经历了棱镜光谱仪、光栅光谱仪和傅里叶变换光谱仪三代。棱镜光谱仪和光栅光谱仪均称为色散型光谱仪,它们直接将不同频率的光分离到空间的不同位置。棱镜光谱仪以棱镜为色散元件,其缺点是,要求干燥恒温,扫描速度慢,分辨率低,测量频率范围受棱镜材料限制,一般不超过中红外区。光栅光谱仪以光栅为色散元件,它对温度和湿度的要求没有棱镜光谱仪高,而且分辨率高,能够测量的红外频率范围也更宽(10~12500cm-1)。下图显示了一种光栅双光束红外光谱仪的基本结构,光束分为两路,分别通过样品池和参比池,利用切光器两路光交替被光栅色散,然后被探测器接收,最后去除参比信号得到的就是样品本身的信号。

除了色散型光谱仪外,目前傅里叶变换红外光谱仪在研究领域使用得越来越多,它具有扫描速度快、灵敏度高、分辨率高等优点。傅里变换光谱仪的核心器件是迈克尔逊干涉仪。下图显示了傅里叶变换红外光谱仪的基本结构,除了干涉仪外,计算机也是傅里叶变换光谱仪不可缺少的部分。此外,在傅里叶变换光谱仪中,探测器多使用TGS或MCT探测器。

2)红外光谱的样品制备
进行红外光谱测量之前,对不同物理状态的样品往往需要采取一定的预处理措施,即样品制备。下面将首先分别介绍气体、液体、固体样品的制样技术,然后介绍几种特殊的红外样品测量技术。
(a)气体样品
气体样品不需要采用特殊的制样措施,它可以使用光程为2.5~10cm的大容量气体池,如下图所示,首先将样品池抽真空,然后注入待测的气体样品。气体样品池要求透光窗片材料为所测波段透明材料。另外,当气体浓度较低时,可在样品池中使用反射镜以增加光程,从而达到增强吸收的目的。

(b)液体样品
不易挥发、无毒且具有一定黏度的液体样品,可直接涂于NaCl或KBr晶片上进行红外光谱测量。易挥发的液体样品则需注入液体样品池中进行测量,在定性分析中通常使用可拆卸液体样品池,如下图所示。将液体滴在其中一块红外透光窗片上,然后用另一块窗片夹住。用螺丝固定后即可测量。样品池的厚度由夹在两块窗片之间的垫片(spacer)决定,其厚约0.05~1mm,如果液体化合物吸收较低,则应使用较厚的垫片。注意:测量时不要让气泡混人,螺丝不要拧得过紧以免导致窗片破裂。

(c)固体样品
固体样品的制样方式较多,包括压片法、糊状法、薄膜法、溶液法等。
①压片法:它是固体红外光谱测试最常用的方法,其基本流程如下图所示。它将固体样品与固体分散介质(粉末)按一定比例混合,通常为1:(100~200),研磨至均匀的细粉,然后将研细的粉末放入压片装置压成薄片,最后测量薄片的红外光谱。固体分散介质应该是红外透明材料,常用NaCl和KBr。使用KBr时要注意,KBr易潮解,所以不可避免会有游离OH键的吸收峰出现在光谱中,可以用同时测量同样条件下制备的纯KBr薄片的红外光谱做参比,在光谱分析时也要注意来自H键的干扰峰的影响。

②糊状法:它是将样品粉末与糊剂(比如:重烃油或六氯丁二烯)一起研磨成糊状,然后再进行测量的方法。调成的糊状物可以用组合窗片组装后测定。重烃油为长链烃,它仅有2850~3000cm-1的CH伸缩振动、1456cm-1和1379cm-1的CH变形振动以及720cm-1的CH,平面摇摆振动,而六氯丁二烯则仅在600~1700cm-1有多个吸收峰,它们可以互为补充使用,在光谱分析时应注意糊剂红外谱带的影响。
③薄膜法:它是将固体样品制成薄膜再来测定的方法,它一般用于聚合物的红外光谱测量。聚合物一般很难研磨成细粉,可先将它们溶解在易挥发的有机溶剂中,再滴在红外窗片、抛光的金属或平滑的玻璃上,待溶剂挥发后即可制成薄膜。薄膜法的基本流程如下图所示。

④溶液法:它是将固体溶于溶剂中制成溶液,然后再按液体样品的方法进行测量。它要求溶剂不会对被测固体产生干扰,红外光谱测量中常用溶剂的透明波段如下图所示,黑色区域表示有干扰波段。

(d)特殊的红外光谱测量方法有时候样品可能无法用上面所提到的方法进行制样,有时候样品信号太弱需要想办法增强光谱信号,这时我们可以采用一些特别的方法来测量红外光谱,这些方法包括全反射法(ATR)反射吸收法(RAS)和粉末反射法。
①全反射法:它用一上下表面平行的梯形棱镜,如下图(a)所示,将样品夹在其上下表面间,光从镜一个侧面入射,在上下表面经过多次反射后从另一个侧面出射。光在上下表面反射时会进入到样品中的一定深度,所以出射光中将携带样品的信息。全反射法可用于测定不易溶解、熔化、难于粉碎的弹性或黏性样品,比如涂料、橡胶、合成革、聚氨基甲酸乙酯等,也可用于表面薄膜的测定。由于光在上下表面可以多次反射,因此会增加光与样品相互作用,从而增强光谱信号。
②反射吸收法:它可用于样品表面、金属板上涂层薄膜的测定,甚至单分子层的解析它测量的是经样品反射的人射光信号,如下图(b)所示。
③粉末反射法:又称扩散反射法,它能用于粉末状样品的红外光谱检测,一般压片法不适用的样品可以用该法进行测定。下图(c)显示了粉末反射法的光路。入射光照在粉末上,有一部分光会直接被表面反射,而另一部分光会进入样品内部,经过多次反射和散射后再出射,所以粉末反射法测量的是多次透过样品的光信号,这与压片法是不同的。

3)红外光谱的应用
红外光谱技术虽然在定量分析上比不上紫外-可见光谱技术,但是在定性分析方面功能非常强大,所以它在药物、医学、生物、石化、食品、环境监测等领域也有广泛应用在药物分析方面,人们利用红外光谱测量药物成分,鉴别药物的真假和品质,在各国药典中红外光谱都被列为药物鉴别的主要方法。中药材是我国制作中药的主要原料,近年来红外光谱技术也被用于对中药材的定量和定性分析上。利用红外光谱人们可以区分不同产地、不同品种的中药材,可以辨别中药材的真假和好坏。特别地,孙素琴专门出版了《中药二维相关红外光谱鉴定图集》,其中收集了多种中药材的红外光谱图,为复杂中药的鉴别提供了依据。
在生物医学领域,生物大分子(如:核酸、蛋白质、脂类、糖原等)大多具有特征红外吸收谱带。比如:蛋白质的酰胺Ⅱ和酰胺I谱带主要分布在1539cm-1和1655cm-1处,酰胺I谱带又由多个子谱带组成,它们分别对应蛋白质的不同二级结构,1681cm-1和1670cm-1归属为转角,1655cm-1归属为a螺旋,1645cm-1归属为无规则卷曲等。利用红外光谱的这些特征吸收谱带可能可以对恶性肿瘤进行早期诊断,因为肿瘤组织与正常组织在核酸含量糖原或胶原含量等方面存在差异,这些差异都会反映到红外光谱的谱型、吸收频率、峰强度等上面,利用红外光谱人们对胃癌、食道癌、结肠癌、前列腺癌、宫颈癌、卵巢癌、乳腺癌等诸多肿瘤进行了研究,但目前的研究成果还没有达到实用化阶段,
在食品安全领域,用红外光谱对食品成分进行鉴定也变得越来越普遍。比如:用红外光谱检测奶粉中是否掺有三聚氰胺、分析牛奶中的成分(脂肪、蛋白质、乳糖等)、食物中的糖分含量、小米中蛋白质含量等。值得注意的是,这方面的定量分析大多要借助复杂的化学计量学方法进行建模,特别是要做到无损检测的话,往往需要利用近红外波段。
四、近红外光谱
近红外光介于可见光和中红外光区之间,它比中红外光更早被人们发现和应用,但是由于近红外光强度弱、谱带重叠严重,所以在早期仪器性能和信息提取技术的限制下,人们难以利用近红外光谱展开有效的定量和定性分析。19世纪中叶,在中红外光谱快速发展期间,近红外光谱几乎停滞不前,而被人们称为“被遗忘的遵区”。29世纪80年代,化学计是学(chemometrics)引人近红外光谱分析中,再加上计算机数据处理能力的不断提高,近红外光谱技术才受到人们的广泛关注,并得到了全面发展。现在,近红外光谱已经在农作物、饲料、食品、石油化工、制药、生物医学等诸多领域得到了广泛应用。
1)近红外光谱的特点
(a)近红外光谱谱带重叠严重
近红外光区为分子振动倍(合)频区,其吸收谱带多为基团的倍频和合频,且大部分基团在近红外区均有倍频或合频谱带。因此,近红外光谱的谱峰数目一般相对较多,而且同一波段往往是多个基团信息的叠加,这样导致近红外光谱往往谱峰重叠严重、谱峰较宽下图显示了谷物中水、油、淀粉、纤维和麦蛋白的1100~2500nm区域的近红外光谱,可以看出它们的谱峰大多比较宽,而且有些吸收区域并没有形成明显的峰。另外,谷物中这几种成分的吸收峰重叠在一起,在实际谷物的近红外光谱中很难将它们单独分离开来。因此,一方面近红外光谱携带丰富的基团信息(虽然仅是振动的倍频或合频),使得利用近红外光谱可以同时测量多个参量;但是,另一方面这些信息因谱带重叠而无法直观地提取,而不得不依赖于复杂的数学方法,这也是近红外光谱技术与化学计量学密切相关的原因。

(b)近红外光谱变动性大
近红外光谱多用于样品不经处理、非破坏性的分析测量中,但是这也造成了近红外光谱的变动性(或不稳定性),即容易受到测量环境中诸多因素的干扰。如下图所示,1和2是在同一天测量的蛋白含量分别为10.7%和15.8%的谷子(粉状样品)的近红外光谱,而3是在另一天测量的蛋白含量为10.7%的同一样品,可以看出测量条件的不同比蛋白含量的不同造成的谱图偏移更大。

近红外光谱的变动性是近红外光谱分析的又一个难点,它使得近红外光谱容易叠加干扰信号,因而需要借助复杂的分析方法减弱或消除干扰信号的影响;但是从另一个方面考虑,变动性使得近红外光谱可以用于测量与变动性相关的物理或化学参量。
(c)近红外光谱吸光度低
由于是倍频或合频谱带,所以近红外谱带通常吸收较弱,如上图中的吸光度在1以下。吸收弱一方面影响了近红外光谱的检测限,使得很难直接用于定量分析;但是,另一方面使得近红外光能够进入样品内部,测量深层样品信息。由于近红外光的吸收较弱,在测量液体时近红外光谱不需要像红外光谱那样使用厚度很薄的样品池,而且液体可以不经稀释直接测量。
2)近红外光谱仪器系统
与其他光谱仪器类似,近红外光谱仪器也包括光源、色散组件、样品室、探测器和显示及记录系统等部分。
(a)光源
近红外光谱仪中常用光源为钨灯或卤钨灯,它们也是常用的可见光源,具有强度高、稳定性好、寿命长等优点。在便携式近红外光谱仪中,发光二极管使用较多,它功耗低、寿命长、价格低廉、容易调控。
(b)色散组件
近红外光谱仪的色散组件有滤光片、光栅、傅里叶变换干涉仪和声光可调滤光器四种类型。早期的近红外光谱仪有用棱镜做色散元件的,但随着光栅技术的完善,目前已很少使用棱镜。在后面介绍各类近红外光谱仪时会进一步介绍这些色散组件。
(c)探测器
在近红外光谱中一般使用基于半导体材料的光电探测器,半导体材料决定了所能探测的波长范围。下表给出了一些材料的波长响应范围。

(d)样品室
由于近红外光谱的样品差别很大,所以样品室的设计也不一样。样品室材料使用普通玻璃即可,但形状应该结合具体样品考虑。
此外,在近红外光谱仪中,光纤和积分球也是常用的附件。
光纤包括透射式光纤和漫反射式光纤两种。光纤材料主要有两类,一类为用于短波近红外区的低OH的石英光纤。

另一类为用于长波近红外区的氧化皓光纤积分球如下图所示,圆球为积分球球体,内壁涂白色的硫酸钡,其反射率高达96%以上。当光束照射到样品上时,被样品漫反射的光经球体内部多次反射,绝大部分进入探测器被接收。这样可以增加信号的信噪比,减小杂散光的影响以及提高测量的灵敏度。另外,使用积分球也可以使用双光路探测方式,让参比光束打在积分球的空白部分即可。

(e)显示及记录系统
计算机是近红外光谱仪中的必要部件,它不仅承担显示、记录、控制等任务,还需要完成光谱数据的分析和处理,特别要能够实现用于光谱分析的化学计量算法。
3)近红外光谱仪类型
按色散组件对近红外光谱仪进行分类,分别有滤光片型、色散型、傅里叶变换型和声光可调滤光型。色散型和傅里叶变换型近红外光谱仪分别与紫外-可见光栅光谱仪和傅里叶
变换红外光谱仪类似,下面不再赘述。下图显示了滤光片型近红外光谱仪的基本结构。近红外光源发出的光经过斩光器斩光器每隔1/4圆周区域交替透光和不透光,如果斩光器以一定频率转动,那么人射光就会交替地透过和被吸收,这样吸收部分就可作为参考零点用于自动校正。人射光经过斩光器后被滤色片滤波成为窄带的单色光,旋转滤光片架可选择滤光片。最后单色光照射在样品上,透射或反射的光信号被探测器接收。
声光可调滤光型近红外光谱仪被认为是20世纪90年代近红外光谱技术最突出的进步,它的结构原理可参看3.3.4节中的图3-24。该类型仪器的特点是:测量速度快(波长调节速度是4000nm/s)、分辨率高(0.01nm)、无机械移动部件、稳定性好。声光可调滤光器是根据各向异性双折射晶体的声光衍射原理制成的,晶体一般采用具有较高声光品质因素和较低声衰减的双折射品体,比如TeO、石英、等,其中TeO 由于是专校高的声光品更团素而被广泛使用。

五、总结
本文介绍了各种吸收光谱技术。吸收光谱是相对于发射光谱而言的,它仅对光信号产生吸收而并不会产生新的波长或频率。按波长范围,我们把吸收光谱技术分为紫外-可见光谱、红外光谱和近红外光谱,它们在光谱测量方面具有相似性,但是在光谱产生机理、光谱解析和具体应用上却大相径庭。本文首先概括性地述了吸收光谱技术,然后从光谱产生机理、光谱测量、光谱分析、应用等方面分别介绍了紫外-可见光谱、红外光谱和近红外光谱技术。
/1