热度 1| |

喜欢自学的禾粉,肯定偷学过Stanford大学或UC Berkeley大学的EE类课程的教学视频。其中,斯坦福大学Murmann教授的EE214的课程用了一个章节来详述了gm/id方法[1]。gmid方法作为模拟/射频电路设计的必备技能而被广泛应用。今天,小禾君就来详细地讲解一下gmid方法的本质。
gm/id方法的起源
大部分人理所当然的认为gmid方法的提出者来自Stanford和UC Berkeley这两所大学。事实上,gmid方法确实来自学术界,早在斯坦福大学和伯克利大学之前,业界已经因为鲁汶大学的Jespers于1996发表在JSSC一篇的文章炸了锅[2],众所周知,能发表在顶级期刊上的东西含金量肯定高。gmid的方法一经提出就受到了热捧。2010年左右gmid方法已经成为了业界通识,Springer还专门出了一本书籍来讲解gmid方法[3]。
2017年Jespers 和Murmann 两位大牛联袂,《Systematic Design of analog CMOS Circuits: Using Pre-Computed Lookup Tables》一书将整个理论和流程整理得更顺畅了,尤其是本书配套了大量matlab代码,非常实用。
除了大牛笔耕不辍,很多民间高手也在钻研这种方法,先后包括chris、Eric Yeh、Master-micro、Hafeez KT都录了相关视频。chris算是国内民间的名人了,早年翻录了EE240视频,堪称初学者的福音,后来在网易云开课,讲解模拟电路设计相关的知识,值得注意的是他的gmid曲线的绘制采用的是Spectre配合Ocean脚本的方式来完成的。台湾半导体研究中心的Eric Yeh详细讲解了用ADE explorer绘制gmid曲线,以及设计五管运放和Fold-cascode运放的实际例子。Master-micro公司录制视频很大程度上是为了推广该公司的Toolbox软件(这其实是个插件),该视频中对于gmid方法的实质和理论依据概括还是很到位的。Hafeez KT的视频是很好,既有理论又有Spectre实操,就是三哥这口音有点炸裂。
平方率模型 VS计算机模型
半导体EDA发展初期,使用Hspice的level1模型就能完美预测MOS器件的特性。随着特征尺寸的减小,一些奇怪的效应陆续出现,导致原来的level1模型根本不够用了,以至于从level1,level2,level3.。。。。。到现在已经有超过50个复杂的仿真模型了,目前计算机普遍使用的是BSIM3V3(对应于Hspice中的level49)的模型,经过这么多年的努力,模型设计者也放弃了物理意义至上的原则,,淡化了器件的原理,逐渐转变为经验参数(多阶拟合的方式),模型中参数个数由14个增加到了上百个(BSIM第三版有约180个参数),可以说工程师把一切脏活累活全都甩给了计算机。
拿一个普通的65nm的管子来说,典型的Vds~Id曲线有着很大的区别,不仅数值差很多,而且曲线的形状也发生了巨大变化。手算和仿真甭提拟合上,计算的结果经常差个十万八千里也不足为奇。就这样,随着MOS管平方率模型走线结束end-of-life,终于模拟电路工程师发现“奶酪”不见了。一部分模拟仿真者干脆直接跳过手算,直接tuning电路,这就变成了大佬嗤之以鼻的“Spice Monkey”。为了不被嘲笑,有些模拟设计者学会了“劳动成果转化”。把仿真得到的关于gmid一系列曲线,强行占为己有,死活不承认自己是spice monkey,强词夺理说自己这是在——查表(Lookup table)。

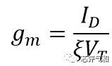
gm 与 id的关系?
对于放大管,哪两个参数最重要,答案无疑是:gm和Id这两个参数。gm决定了增益,id决定了功耗。
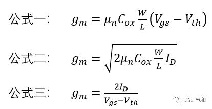
对于饱和区,我们依据平方率模型,gm的三种表达式:

我们看一下三极管的gm,这个后面我们会用到。

观察三极管的gm/Ic=1/26mv=38.5
你可能没想到,三极管的gm/Ic居然是个常数——38.5
注:Vgs-Vth=Vov,Vov称为过驱动电压。
对于饱和区MOS管:
gm/Id=2/Vov
有意思来了,随着Vov减小,gm/Id会越大,这个发现让我们不由得灵魂一颤,如果让Vov取值很小,那么跨导电流效率会非常高,意味着,用很小的电流就能获得足够大的gm!从公式看确实如此,但坏消息是,随着Vov的减小,器件逐渐进入亚阈值区。

亚阈值区电流公式:

此时跨导公式:

这下完了,由于

说明MOS管的gm/Id永远比三极管差(命运啊!),也就是永远无法超越38.5。MOS管和三极管区转换点是能够衔接的,也就是转换点同时满足饱和公式和三极管区公式。
我们实际仿真MOS一组gm/id随Vgs的变化,果真,诚不欺我,永远<38.5。

这里有个小插曲,看过sansen的《模拟电路设计精粹》一书会经常提到过驱动取值,很随性的就选择了Vov=4*vt=200mV,这个200mV怎
/2