| |

模拟工程师最后的尊严
模拟电路工程师最引以为傲的两项技能:小信号模型计算和传输函数的零极点分析。但是,自从基于Spice Level1(Schichman-Hodges model)的手算方法被拟合度更高的gm/Id方法代替后,零极点分析成了模拟电路工程师们最后的尊严。
对于波特图的学习大概要追溯到《工程电路分析》这门课程,由于难度不大,模拟电路工程师对于此项技能基本都是满分的存在。但是今天小禾君要告诉你的是,用奈奎斯特稳定判据来分析电路稳定性才是当今的主流。
20世纪30年代初,关于控制和反馈控制的理论研究进入百家齐鸣的局面,而当时还没有出现个人计算机,就连“自动化“这个概念还是几年后才提出。
当时工程师苦解微分方程久已,不可否认当时贯通控制理论和微分求解的大牛确实存在,但对于普通学渣工程师来说,可能根本都不懂微分方程是个啥东东。
Bell实验室同事这么卷的吗?
1930年Bell实验室的亨德里克·韦德·波特发现解微分方程确实麻烦,在观察拉普拉斯算子求得的传输函数时,发明了用幅频特性和相频特性表示的波特图,开环特性以及其接成反馈系统后的闭环稳定特性一目了然,所以波特图一经发明就受到热捧。Bode发明波特图,在这场互卷大战中取得先机。
1932年,同在Bell实验室的哈里·奈奎斯特非要另辟蹊径找到比Bode图还要简便的方法。幸运的是,真让他找到了,那就是我们现在说的奈奎斯特稳定性判据。
历史的选择是两种方法都得到了保留,即便到了今天,号称模拟电路设计圣经的——《Design of analog CMOS Integrated Circuits》在第二版里也不惜使用大量篇幅来讲解奈奎斯特稳定性分析方法。相比bode图方法,奈奎斯特方法只需检查对应开环系统的奈奎斯特图,不必准确计算闭环或开环系统的零极点就可以使运用(虽然必须已知右半平面每一种类型的极点的数目)。
波特图与奈奎斯特图的异同
通常我们的分析过程是这样的:首先使用器件的s域模型,列好了KCL,KVL,进而求解出输出/输入的表达式,也就是传输函数H(s)。通过分析传输函数的特性我们反推出时域的响应。波特图和奈奎斯特图本质上都是分析传输函数的工具。下面具体看一下二者的区别:
l区别一:自变量取值范围不同
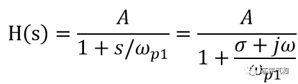
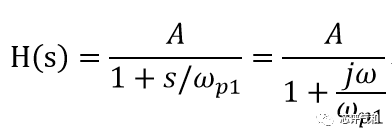
众所周知,H(s)的自变量s=σ+j ω,我们求解传输函数后H(s),绘制波特图的时候,一般都是只取虚部令s=jω,这是为何呢?
傅里叶变换
拉普拉斯变换
对比下面傅里叶变换和拉普拉斯变换定义式,很明显,s=jw时,拉氏变换就转化成了傅里叶变换。
所以波特图限定了σ=0,而奈奎斯特图让s放飞自我,在整个s平面移动。
l区别二:表述H(s)的方法不同
波特图是拆分成两张实坐标图,分别表述H(s)的幅度和相位。而H(s)则选择“原汤化原食”,s选了复数坐标,那么H(s)还是是用复数坐标来表述。

咦,这么看奈奎斯特啥也没干呀,会不会是在糊弄我?其实奈奎斯特分析方法的精髓就在于“不求甚解”。
”奈”的魔力转圈圈
对于奈奎斯特稍有耳闻的禾粉会知道,其实奈奎斯特就是绕圈圈。在模拟电路中,只有反馈电路才存在不稳定的问题,开环分析Bode图也是为了解决闭环使用时的稳定问题。
下面是个简单反馈的例子,反馈我们设定为一个与时间无关的常数β。

列出传输函数:

其中βH(s)为开环增益,如果分母(1+βH(s))在右半平面和j轴有任何的为零的点,都会导致转化成时域时,幅度持续增大,也就是不稳定的。那我们把注意力集中在R(s)=1+βH(s)这个式子上,这个表达式需要满足不存在零点。
注意:1+βH(s)的极点和H(s)相同,但是两式的零点并不同。
物理界遇到解释不了的东西,或者作者懒得解释的东西,那就直接搞个定理,请原谅小禾君,这里不厚道的搬出了柯西幅角定理。
柯西幅角定理:若s 的封闭轨迹为顺时针方向,且包围H(s)的P 个极点和Z 个零点,那么H(s)的极坐标轨迹图将以相同的方向绕原点旋转Z-P圈。
这个柯西定理看起来跟我们稳定性还是没啥关系,其实,这个柯西定理的精髓在于反向操作。
我们还是以R(s)=1+βH(s)为例,并假定右半平面不存在极点,这对于大多数电路都是成立的。现在就是求R(s)在右半平面有没有零点?选择右半平面一个超级大的范围,我们画一个闭合曲线。此时,求右半平面是否存在零点的问题,等价于求这个超大闭合区间内是否存在零点。
逆向使用柯西定理的方法如下,如果我们通过估算或者计算机描绘,知道了βH(s)的轨迹图,其围绕-1,0绕了M圈。并且该区域内极点数P=0,很显然Z=M,也就是说如果βH(s)不围绕-1,0绕圈,那么该区域就不会出现零点——电路也就是稳定的。
注:柯西定义为已知Z和P,求M。反向操作的过程为已知M和P,求Z。

注:我们考察1+βH(s)=0与求βH(s)=-1是等价的。
此时,肯定有不少禾粉怀疑这个方法的准确性,1+βH(s)不为零那就一定是稳定的吗?是否存在例外情况呢?很遗憾,这定理说的就是个充要条件。所以,无需怀疑该方法的准确性和全面性。
实践课:举个栗子
为了不至于那么唐突的下定论,也为了让禾粉更容易接受,我们还是举几个典型的例子,来说明一下奈奎斯特方法的准确性。
l左半平面单级点系统
单级点的传输函数如下,为了简化分析,我们后面所有的分析都默认反馈系数β=1。

由波特图可知,如果极点位于左半平面,相位裕度始终>90°,所以单级点(左半平面)系统是无条件稳定的。

下面用奈奎斯特稳定性分析方法,看看能不能得到一致的结果。
先在s平面给自变量s=σ+j ω选一个轨迹,这里我们选择如下的四个典型的点,A(0,0j)、B(0,+∞j)、C(+∞,0j)、D(0,-∞j)


观察传输函数H(s),四个点分别映射到H(s)后结果依次为:(A,0j)、(0,0-j)、(0,0j)、(0,0+j)
注:这里的0-代表-jω轴靠近原点的位置,同理0+代表+jω轴靠近原点的位置。

从H(s)的轨迹上可以得知, H(s)永远不
/1