热度 6| ||
1、反馈电阻RF
在几乎所有的ST的MCU中,RF是内嵌在芯片内的。它的作用是让反相器作为一个放大器来工作。
Vin和Vout之间增加的反馈电阻使放大器在Vout= Vin时产生偏置,迫使反向器工作在线性区域(图5中阴影区)。该放大器放大了晶振的正常工作区域内(Fs与Fa之间)的噪声(例如晶振的热噪声),该噪声从而引发晶振起振。在某些情况下,起振后去掉反馈电阻RF,振荡器仍可以继续正常工作。

2、负载电容CL
负载电容CL是指连接到晶振上的终端电容。CL值取决于外部电容器CL1和CL2,杂散电容Cs。CL值由由晶振制造商给出。
振荡频率精度,主要取决于振荡电路的实际负载电容与晶振制造商给出的CL值是否相同。振荡频率是否稳定则主要取决于负载电容值是否保持稳定不变。
调整外部电容器CL1和CL2,使振荡电路实际的负载电容等于晶振制造商标定的负载值CL参数(晶振规格书一般会提供),可以获得标定的振荡频率。
计算公式如下:

举个计算的示例:
如果晶振规格书手册中CL =15pF,并假定Cs = 5pF,则匹配电容CL1,CL2有:

3、振荡器的增益裕量
增益裕量是最重要的参数,它决定振荡器是否能够正常起振,其表达式如下:

其中:
a、gm是反相器的跨导(高频时单位是mA/V,低频时是μA/V,比如32Khz)。
b、gmcrit (gm critical)的值取决于晶体参数。
假定CL1 = CL2,并假定电路实际的CL与制造商给定的CL值相同,则gmcrit表达式如下(其中ESR是指晶振的等效串联电阻):

根据Eric Vittoz理论:晶体等效电路的阻抗由放大器和两个外部电容的阻抗来补偿。
为了满足这个理论,gm必须满足gm>gmcrit, 在这种情况下才满足起振的振荡条件。为保证可靠的起振,增益裕量gainmargin的最小值一般设为5。
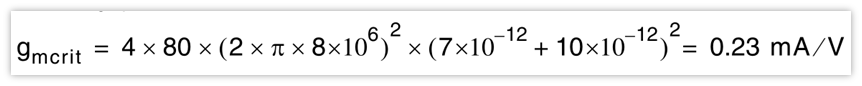
举个例子,设计一个微控制器的振荡器部分,其gm等于25mA/V。如果所选择的石英晶振的参数如下:
频率 = 8MHz,C0 = 7pF,CL = 10pF,ESR = 80 Ω。那么该晶体能否与微控制器配合起振?
计算gmcrit:

进一步计算增益裕量:

此增益裕量远大于起振条件,即gainmargin>5,晶振将正常起振。
如果不能满足增益裕量起振条件(即增益裕量gainmargin小于5),晶振无法正常起振,应尝试选择一种ESR较低,CL较低的晶振。
4、驱动功率DL和外部串阻Rext计算
驱动功率DL和串联电阻Rext这两个参数是相互联系的,这也就是为什么在同一节中描述此二者的原因。
a、驱动功率DL的计算
驱动功率描述了晶振的功耗。晶振的功耗必须受到限制,否则石英晶体可能会由于过度的机械振动而导致不能正常工作。通常由晶振制造商给出晶振驱动功率的最大值,单位通常是毫瓦。超过这个值时,晶振可能就会损坏。
晶振的驱动功率DL满足下面公式:

其中:
ESR:是指晶振的等效串联电阻(其值由晶振制造商提供的晶振规格书手册给出):
IQ:是流过晶振电流的有效值,使用示波器可观测到其波形为正弦波。电流值可使用峰-峰值(IPP)。当使用电流探头时(如Figure6),示波器的量程比例可能需要设置为1mA/1mV。

如前面描述,当使用电位器调整电流值,可使流过晶振的电流不超过最大电流有效值IQmaxrms(假设流过晶振的电流波形为正弦波)。
最大电流有效值IQmaxrms表达式如下:

因此,流过晶振的电流峰峰值IPP(可从示波器读到)不应超过IQmaxPP,IQmaxPP表达式如下:

这也就是为什么需要外部电阻Rext的原因。当IQ超过IQmaxPP时,Rext是必需的,并且RExt要加入到ESR中去参与计算IQmax。
b、另外一个测量驱动功率DL的方法
驱动功率可以由下式计算得出:

其中IQrms是交流电流的有效值。
这个电流可以通过使用小电容(<1pF)示波器探头在放大器的输入端,测量电压变化得到。相对于流经CL1的电流,放大器的输入电流可以忽略不计,因此可以假定经过晶振的电流等于流经CL1的电流。这样,电压的有效值与电流的有效值有如下关系:

其中:

Vpp指的是测量的CL1两端电压的峰峰值。
Ctot = CL1 + (CS/2) + Cprobe
CL1:是放大器输入端的外部电容
CS:是寄生电容
Cprobe:是示波器探头的电容
这样,最终驱动功率DL可以由下式子得出:

DL的测量值一定不能超过由晶体厂家提供的手册中的DL数值。
c、外部串联电阻Rext的计算
这个电阻的作用是限制晶振的功率,并且它与CL2组成一个低通滤波器,以确保振荡器的起振点在基频上,而不是在其他高次谐波频率点上(避免3次,5次,7次谐波频率)。
如果晶振的功耗超过晶振制造商的给定值,外部电阻Rext是必需的,用以避免晶振被过分驱动。如果晶振的功耗小于晶振制造商的给定值,就不推荐使用Rext了,它的值可以是0Ω。
对Rext值的预估可以通过考虑由Rext和CL2构成了一个滤波器,通带宽度应不小于振荡器频率,当振荡频率正好等于滤波器截止频率时,有下面公式:

举例,当:
振荡器频率F = 8MHz
CL2 = 15pF
得到:Rext = 1326Ω
优化RExt值的方法推荐如下:
首先根据前面的介绍确定好CL1和CL2的值,其次使用电位器来代替Rext,Rext值可预设为CL2的阻抗,然后调整电位器的阻值直到它满足晶振驱动功率要求。
在计算完Rext值后要重新计算gainmargin的值(参考前面内容)以确保Rext值对起振条件没有影响。Rext值的值需要加入到ESR中参与gmcrit的计算,同时要保证gm >>gmcrit。

如果Rext值太小,晶振上可能会承担太多的功耗。如果Rext值太大,振荡器起振条件将得不到满足从而无法正常工作。
d、启动时间
启动时间是指振荡器启动并达到稳定所需的时间。石英晶体振荡器的启动时间要比陶瓷晶体振荡器的时间要长。
启动时间受外部CL1和CL2电容影响,同时它随着晶振频率的增加而减少。不同种类的晶振对启动时间影响也很大,石英晶振的启动时间比陶瓷晶振的启动时间长得多。
起振失败通常和gainmargin有关,过大或过小的CL1和CL2,以及过大的ESR值均可引起gainmargin不能满足起振条件。
频率为MHz级的晶振的启动时间是毫秒级的,而32kHz的晶振的启动时间一般要1~5秒。
e、晶体牵引度
晶振的牵引度是指工作在正常并联谐振区的晶振频率的变化率。这也用于衡量随负载电容变化而导致的频率变化,负载电容的减少会导致频率的增加,反之负载电容的增加会导致频率的减小。晶振的牵引度表达式如下:

晶振选型及外部器件的简易指南
本节给出了一个挑选合适的晶振及外部器件的简易指南,一共可分为3个主要步骤:
1、计算增益裕量gainmargin
首先选择一个晶振(根据MCU需求及晶振手册)
然后计算晶振的增益裕量(gainmargin)并检查其是否大于5:如果gainmargin < 5,说明这不是一个合适的晶振,应当换一个低ESR值或低CL值的晶振,知道满足大于5的条件。
2、计算外部负载电容
计算CL1和CL2的值(计算方法见前面章节),并检查标定为该计算值的电容是否能在市场上获得。
如果能找到容值为计算值的电容,则晶振可以在期望的频率正常起振。
如果找不到容值为计算值的电容,在对频率的要求不是特别苛刻时,选择市场上能获得的电容中容值距计算值最近的电容,然后转到第三步。
3、驱动功率及Rext的计算
计算驱动功率DL并检查其是否大于晶振的DL参数要求DLcrystal:
如果DL < DLcrystal,没必要使用外部电阻,祝贺你,你找到了合适的晶振。
如果DL > DLcrystal,应该计算Rext使其确保DL< DLcrystal并据此重新计算Gainmargin。如果Gainmargin> 5,祝贺你,你找到了合适的晶振。如果Gainmargin< 5,需要再重新挑选另外一个晶振,然后重新回到第一步。
本文章主要是翻译ST的资料AN2867,文件下载地址:
https://www.st.com/content/ccc/resource/technical/document/application_note/c6/eb/5e/11/e3/69/43/eb/CD00221665.pdf/files/CD00221665.pdf/jcr:content/translations/en.CD00221665.pdf
/2