| ||
近日,在设计一款2合1功率合成器的时候,对版图进行提参,测试LKQ的时候遇到了困难。问题及解决方法如下:
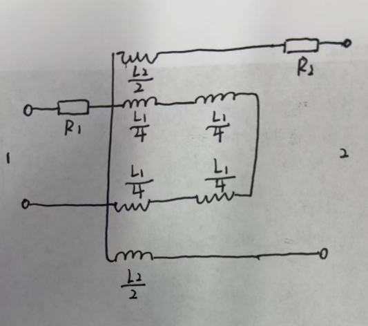
设计的功率合成器版图及等效电路原理图如下:

可以看到,有一个初级线圈和两个次级线圈。目的是测量三个线圈的电感和耦合系数以及Q。
在测试的过程中遇到了困难,原因如下:
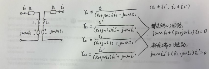
一般的变压器是二端口网络,我们会根据SP扫描后的Z参数去进行计算。但是在这个设计中,是没有Z参数的。比如Z12的定义是V1/I2,此时要求端口3必须开路,但是在这个电路中,端口2和端口3共用一个回路,加入端口3开路,那么端口2也将没有电流流过,也就是说Z12分母为0.所以无法用Z参数测量。
有一种思路是根据Y参数去计算,在此电路中,Y参数是存在的,短路对于测量没有影响。但是实际上去算一下就知道很复杂。先不说3端口,单是用Y参数计算2端口的电感,就是一项很复杂的工程。

感兴趣的可以去算一下,反正我算不出来。
所以这里提供一种很巧妙的思路,也就是把一个线圈直接不接入电路,把三端口变成二端口进行测量。
比如线圈3不接入,等效电路图如下:

推理过程如下:
可知:短路端口3可以得到初级线圈和端口2次级线圈的电感、耦合系数、品质因数
同理,短路端口2可以得到初级线圈和端口3次级线圈的电感、耦合系数、品质因数
这个方法不要求两个次级线圈对称或相等。
根据理论去验证:
不接入线圈3:
公式如下:
设置参数如下(线圈12耦合系数0.6):
得到结果如下:
由此可知思路正确,方法无误。
/1