热度 14| |
小信号种类之外的多种 S 参数。
描述射频网络基本特征的散射参数(S 参数)有多种形式,包括小信号、大信号、脉冲、冷模式、混合模式。它们量化了射频能量如何通过系统传播,从而包含有关其基本特征的信息。
使用 S 参数,我们甚至可以将最复杂的射频设备表示为简单的 N 端口网络。图 1显示了一个双端口不平衡网络示例,可用于表示许多标准射频组件,例如射频放大器、滤波器或衰减器等。
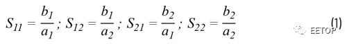
图1所示的波量(wave quantities)是入射到器件端口1和端口2上的电压波的复振幅。如果我们一次刺激一个端口,当另一个端口端接到匹配的负载时,用相应的波量a1或2刺激另一个端口,我们可以根据波量b来定义设备的正向和反向响应。这些量表示从网络端口反射并通过网络端口传输的电压波。
图1. 显示的是一个双端口不平衡射频网络,它可以代表许多射频组件。
如果我们取得到的复杂响应和初始刺激量的比率,则可以定义双端口组件的 S 参数,如公式 1 所示:

然后可以通过将 S 参数组合成一个散射矩阵(S 矩阵)来表示网络的固有响应,该矩阵将其所有端口处的复波量联系起来。对于双端口不平衡网络,激励-响应关系将获得公式 2 中的形式:

S 参数的类型
小信号
如果没有明确说明,术语“S参数”通常是指小信号S参数。它们代表RF网络对小信号激励的响应,量化其在线性工作模式下随频率变化的反射和传输特性。使用小信号S参数,我们可以确定基本的RF特性,包括电压驻波比(VSWR),回波损耗,插入损耗或给定频率下的增益。
大信号
但是,如果我们不断增加通过射频设备的信号的功率电平,通常会导致更明显的非线性效应。这些影响可以使用另一种称为大信号 S 参数的散射参数来量化。它们不仅在不同频率上变化,而且在激励信号的不同功率水平上变化。这种类型的散射参数可用于确定设备的非线性特性,例如其压缩参数。
通常使用连续波 (CW) 激励信号并应用窄带响应检测来测量小信号和大信号 S 参数。然而,许多射频组件设计为使用具有宽频域响应的脉冲信号工作。这使得使用标准窄带检测方法准确表征 RF 组件变得具有挑战性。
脉冲 S参数
因此,为了在脉冲模式下表征器件,通常使用所谓的脉冲 S 参数。这些散射参数是使用特殊的脉冲响应测量技术获得的。
Cold S参数
另一种 S 参数,很少被提及,但有时可能变得很重要,它是Clod S 参数。术语“冷”是指在非活动模式下获得有源器件的散射参数(即,当其所有有源元件都处于非活动状态时;例如,晶体管结为反向或零偏置并且没有传输电流流动) . 例如,这种类型的 S 参数可用于改善信号链段与在信号路径中引起高反射的关闭状态组件的匹配。
混合模式
到目前为止,当激励和响应信号以地为参考时,我们已经为典型的单端组件定义了 S 参数。但是,对于具有差分端口的平衡组件,这个定义是不够的。平衡网络需要更广泛的表征方法,该方法必须能够充分描述它们的差模和共模响应。
这可以通过使用混合模式 S 参数来实现。图 2显示了混合模式散射参数的示例,这些参数组合成一个扩展的 S 矩阵,代表典型的两端口平衡组件。

图2. 这是一个双端口平衡射频网络及其混合模式散射矩阵。
此矩阵中混合模式 S 参数的下标使用命名约定 b-mode、a-mode、b-port 和 a-port。前两个描述了响应端口(b-mode)和激励端口(a-mode)的模式,后两个指定了这些端口的索引号,其中b-port对应响应,a-port对应激励端口。
在我们的示例中,端口模式由下标 d(差分)或 c-共模定义。然而,在同时具有平衡和非平衡端口的组件的更一般情况下,混合模式S矩阵还将具有附加元件,其下标s描述了为单端端口获得的数量。
混合模式散射参数使我们能够确定射频组件的基本参数,例如回波损耗或增益。此外,它们还可以确定用于表征差分电路性能的关键品质因数,例如共模抑制比 (CMRR)、幅度不平衡和相位不平衡。
结论
本文介绍了基本定义并简要讨论了散射参数的关键类型。S 参数可用于描述射频组件在不同频率和不同功率电平下的基本特性。
射频应用的开发依赖于使用描述射频设计的整体结构和组成组件的 S 参数数据。RF 工程师测量或依赖现有的 S 参数数据,这些数据通常存储在标准文本文件中,称为 Touchstone 或 SnP 文件。这些文件通常免费提供给当今市场上最流行的射频组件。
原文
推荐阅读:
/2